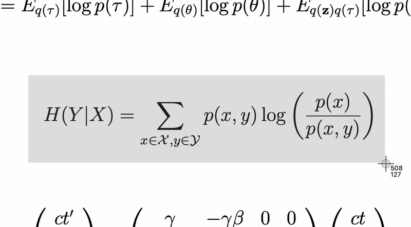
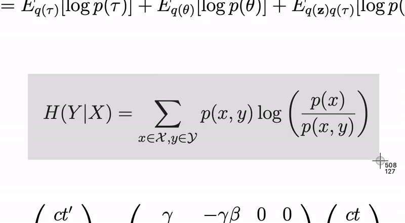
mathpix软件有非常好用的帮助用户在这里识别各种数学公式的功能,让用户能够将各种数学公式转变成LaTeX代码进行程序使用,让用户能够在编写各种文献和学术报告时更加的节省时间,软件能够直接截取图片中的数学公式进行使用,非常的方便快捷。
mathpix snipping tool是特殊的OCR识别工具,与其他OCR识别工具不同的是mathpix snipping tool可以识别数学公式然后将它转换成LaTeX编辑器的代码,然后您就可以在LaTeX 编辑器中使用此代码了,在撰写学术和科学文献时非常有用。
快速精准的OCR图片文字识别软件
提供PDF、图片、票证、手写体等文件快速精准识别,实现文档快速识别转换,只需几次点击即可搞定
全新的数字化生活体验
实现PDF、图片、票证、手写体等文件快速精准识别
PDF识别、图片识别、证件识别、票据识别,识别精准,转换高效,性能稳定
在 Linux、macOS、Windows 系统下使用 Mathpix 可以截取到复杂数学方程式的截图,并可以转换成 LaTeX 可编辑文本,在选写学术及科学文献时经常会用到。编写 LaTeX 文档最麻烦的部分是那些复杂的方程式,使用 Mathpix 就可以搞行了,同时使用 Mathpix 可以截取数学方程式的截图,它会立即为你提供 LaTeX 代码。然后,你可以在你最喜欢的 LaTeX 编辑器中使用此代码。
1、开始通过输入键盘快捷键:
苹果电脑上是Ctrl + #8984; + M

在Windows和Linux上按Ctrl + Alt + M.

2、捕获
屏幕截图框中的所需输入,只需单击并拖动即可,图像显示捕获的容易程度

3、编辑你的LaTeX 很容易从任务栏直接选择所需的格式,进行编辑等。图像显示编辑的容易程度

4、粘贴将LaTeX导入任何兼容的编辑器,它已经被复制到你的剪贴板了。


