王者基地软件:强者所选,资源之王
游戏排行
软件排行
Tag标签
王者基地软件
安卓游戏
安卓游戏
安卓软件
苹果游戏
苹果软件
电脑游戏
电脑软件
MAC游戏
MAC软件
搜索
热门搜索:
游戏
娱乐
工具
免费下载
首页
电脑软件
电脑手游
电脑单机
安卓软件
安卓游戏
iphone软件
iphone游戏
mac软件
HarmonyOS软件
HarmonyOS游戏
教程资讯
游戏攻略
专题合辑
您当前所在位置:
首页
>
iphone软件
>
教育
> 二项分布
二项分布
类型: 教育
大小: 175.0MB
语言: 中文
版本:
等级:
更新: 2026-03-08
标签:
工具
教育
本地下载
软件简介
软件截图
猜你喜欢
相关资讯
搜 索
为您推荐:
工具
教育
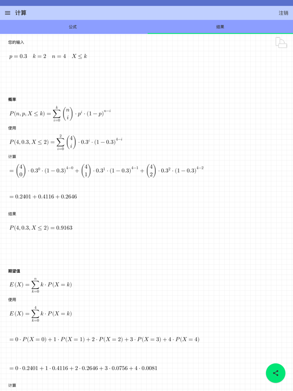
二项式分布是离散概率分布。 要计算它,需要单次实验、命中和试验的概率。 该应用程序逐步显示所有重要的数量,并提供二项式分布的直方图和分布函数图。 您可以在成功概率和互补概率之间进行选择。 根据变量的不同,支持自然数或十进制数。 解决方案将逐步显示。 所有计算都存储在历史记录中。 最终的解决方案可以分享。 [ 内容 ] - 具有成功概率和互补概率的二项分布 - 必须输入概率 p、命中 k 和试验 n - 计算期望值、方差、标准差 - 结果被计算并详细显示 - 直方图和分布函数图 - 保存输入的历史记录 - 详细的解决方案 - 支持自然数或十进制数 - 删除广告的选项 [ 用法 ] - 有使用特殊键盘输入值的字段 - 按右下角的复选标记按钮开始计算 - 如果缺少值,相应字段将以黄色突出显示 - 如果值不正确,受影响的字段将以红色突出显示 - 一条短消息解释为什么值不正确 - 历史记录中的条目可以删除或排序 - 如果您在历史记录中选择一个条目,它将自动加载以进行计算 - 按下按钮即可删除整个历史记录 - 解决方案可以共享 - p 必须大于 0 且小于 1 - k 必须大于或等于 n为将在后续更新中推出的新代币系统做准备。
显示全部
软件截图
1
2
猜你喜欢
教育
娱乐
健康健美
体育
购物
效率
生活
之了学吧-Excel职场办公课程
英语单词短语词汇学习宝典
电视夜校
蓝天教育
学习韩语 - 练习听说
芝士考研
学家云
益智加法运算小火箭-小学数学算数游戏
驾校一点通3D练车-2025科二科三3D汽车模拟考试
之了学吧-Excel职场办公课程
Bright English - 英语初学者
金湾智校家长
变形金刚救援机器人:英雄历险记
PikaPika - 随机选择器
赌场模拟:技术
节日季节贴纸
铃声-手机来电铃声制作
一直娱POP
侠隐风云_唯美仙侠世界
美容小游戏大全: 超级美容院游戏
小朋友预测机
修真风云录-单机怀旧文字挂机游戏
签筒
公主游戏:皇家公主酒店-换装化妆度假
好好吃饭 - 健康菜谱与食材推荐
iCare · 吃药提醒
易连心
iGPSPORT-骑行路书导航运动数据软件
小轻柠_减肥打卡记录体重日记每天称一下体重
疫苗接种记录 - 健康证书管理助手,用药指南
梦语者_睡眠好帮手
洗脸猫-极简护肤主义
病历本 药物配方管理
邱显峰整体瑜伽
可爱的药丸提醒
体温小记: 体温记录助手
直播吧-足球篮球电竞
计步器 ٞ
大生物联
足球Insight
世界观体育
get鉴别
现场比分直播—橄榄球、网球、篮球结果 - Skores
Dive+ : 全球潜水社区
GO球鞋仓库-让商品价值更直观
校园乐跑
计分器 - 篮球、乒乓球、羽毛球、足球记分板工具
社会体育指导
麦享生活
洋葱OMALL
有尺物 - 一番赏ONLINE
碧天乐购-数码商城
打折网 DealMoon 11.11购物节 德法意折扣信息
红韵串商
第二药房s
京东慧采
U牌官方商城
免免淘 - 护肤品免税低价
白白优选-领优惠券的省钱网购APP
英树生活
OpenCat - 智能问答&翻译&写作&绘画
高清壁纸_壁纸可爱头像制作
待办清单、每日计划、习惯打卡、任务管理:Planelle
才智云管理
中国日历 2025 - 2026
简单好用的日历 Tree
懒牛人脉
Caho笔记本 -既可爱又好用的备忘录笔记本!记录小帮手!
板栗看板-项目协作与任务同步
截至平局 - 创建具有约束和尺寸二维图纸
实时翻译_多语言
明软菜谱
优能能源
虚空济
SPower云管理
爱璧山
自动记牌王_斗地主掼蛋记牌器
铁住装修-装修设计报价软件
握奇穿戴
问先生
Bucket - 愿望清单
少儿围棋教学系列第六课
点点时光-习惯养成打卡软件
神盾数码回收
相关资讯
更多>>
看图王版本号查询_2345看图王版本号查看教程
腾讯视频驻留设置方法_腾讯视频免费观看指南
QQ锁定快捷键设置_QQ快捷键技巧
爱奇艺万能播放器禁用电源管理方法教程_爱奇艺播放器电源管理技巧
微信开发者工具设置默认外观_快速指南
影音先锋均衡器选择指南_提升音质技巧
谷歌浏览器关闭闲空检测方法_谷歌浏览器闲空检测终解
影音先锋皮肤选择教程_影音先锋皮肤技巧
Blender 脚本运行方法教程_Blender 脚本运行指南
微信开发者工具GPU速速模式启用教程_微信开发者工具优化技巧
影音先锋下载位置设置指南_新手教程
谷歌浏览器内存优化技巧_谷歌浏览器内存功能开启教程
相关下载
芳草教育商务版-园所及订单在线管理
完美钢琴教程-教你弹钢琴
猿辅导老师版
Music Minds 音乐头脑。最好的学习方法音乐
动物园百科软件
网阔远程教育
大学英语三级
学习西班牙语 •
一年级语文下册-小学语文一年级下册点读机
悟空刷题
必过题库-初级中级会计税务师题库
课程表 · ClassTable
吉他教学-指弹弹唱吉他谱入门教程
高考阳光志愿
考研政治:历年考研政治刷题和1000题
本类下载排行
1
动物园百科软件
大小: 97.9MB
1
动物园百科软件
97.9MB
2
护士通-护士在职学习培训考试平台
大小: 76.0MB
2
护士通-护士在职学习培训考试平台
76.0MB
3
鲸鱼无线积木编程
大小: 126.1MB
3
鲸鱼无线积木编程
126.1MB
4
TalkAI练口语-AI视频、对话背单词
大小: 162.6MB
4
TalkAI练口语-AI视频、对话背单词
162.6MB
5
Lingopanda-每日英语听力, 英语阅读, 英语流利说
大小: 167.3MB
5
Lingopanda-每日英语听力, 英语阅读, 英语流利说
167.3MB
6
注册电气工程师题库
大小: 87.6MB
6
注册电气工程师题库
87.6MB
7
安全家 - 用知识和经验保护生命财产
大小: 129.6MB
7
安全家 - 用知识和经验保护生命财产
129.6MB
8
小学入学数学练习 小学必会数学知识
大小: 82.8MB
8
小学入学数学练习 小学必会数学知识
82.8MB
9
iDoceo - 老师成绩簿
大小: 147.0MB
9
iDoceo - 老师成绩簿
147.0MB
10
英语字母写字板-学前益智早教英语游戏
大小: 48.8MB
10
英语字母写字板-学前益智早教英语游戏
48.8MB
精品推荐
换一换
注册安全工程师_2026中级注册安全工程师
电视夜校
贝卡舞蹈
有道少儿思维
象棋教程
超级课堂-语文数学英语物理化学
越野摩托车-儿童益智应用摩托车赛车总动员
大可英语
多说TalkFace-AI雅思口语外教 学英语口语流利说雅思
益智加法运算小火箭-小学数学算数游戏
象棋云棋院
Bright English - 英语初学者
驾校一点通3D练车-2025科二科三3D汽车模拟考试
初级药士题库-鑫题库
金湾智校家长
昆仑学堂
网阔远程教育
英语字母写字板-学前益智早教英语游戏
向上